EYESIS强脉冲光治疗中重度视频终端相关干眼的安全性及有效性分析
在如今的信息时代,每天长时间使用电脑和智能手机等的各种电子技术设备,已逐渐成为职业、教育和娱乐场所的必备环境,改变了各年龄段的生活方式及相关干眼——VDT相关干眼患病率逐年提升。电子设备发出波长为415~455nm短波蓝光,通过异常眨眼、LED峰值发射波长破坏睑板腺和杯状细胞功能,破坏眼表环境,引发泪膜不稳定,造成如眼疲劳和疼痛、干涩、刺激和灼烧等干眼症状。根据不同国家及其诊断标准,VDT相关工作者的干眼患病率在13.3%-69.5%,对生活质量和工作效率产生显著的负面影响,已然成为重大的公共卫生问题。


IPL(强脉冲光)是一种多波长、强脉冲、广谱光,特点是非平行和多色,波长为500~1200mm。在2017年,泪膜和眼表学会国际干眼症研讨会Ⅱ将 IPL 列为治疗干眼患者的物理方法之一。有研究表明,IPL 可有效治疗VDT相关干眼,但相关研究甚少,且评估指标仅泪河高度(Tear Meniscus Height, TMH)、泪膜破裂时间(Tear Break-up Time, TBUT)、SIT。为了更准确、详细评估IPL改善中重度 VDT 相关干眼患者的症状及体征,一项针对就诊于南昌大学第二附属医院干眼门诊的中重度 VDT 相关干眼患者进行前瞻性对照研究,对比使用睑板腺按摩联合药物治疗和EYESIS强脉冲光联合睑板腺按摩及药物治疗后中重度 VDT 相关干眼的OSDI、NITMH、NIBUT、SIT、睑缘评分、MGYSS、CFSS、MGLS 改善情况以及并发症的发生,来评估强脉冲光治疗的有效性和安全性。

入组资料
收集南昌大学第二附属医院干眼门诊2022年06月至2022年12月收治的中重度 VDT 相关干眼患者50例(100 眼)作为研究对象。采用非随机对照研究方法,根据患者自愿原则将患者分为2个组。其中,
A组25只眼,男性12人,女性13人;
B组25只眼,男性11 人,女性14 人。
两组间性别、年龄、日均视频时间、治疗前OSDI、NITMH、SIT、NIBUT、睑缘评分、MGYSS、CFSS、MGLS之间皆无统计学差异。
患者纳入标准为:
a.年龄20~60岁;
b.VDT 工作者;
c.OSDI≥23分;
d.视频时间≥4h;
e.符合我国干眼诊断标准:
1)患者主诉有眼部干涩感、异物感、烧灼感、疲劳感、不适感、眼红、视力波动等主观症状之一,眼表疾病指数(OSDI)≥13分;同时,患者 FBUT≤5s 或 NIBUT≥5s且≤10s或Schirmer I 试验(无麻醉)≤5mm/5min,可诊断干眼。
2)患者有干眼相关症状,OSDI≥13分;同时,患者 FBUT>5s 且≤10s 或NIBUT 为10-12s,Schirmer Ⅰ试验(无麻醉)>5mm/5min 且≤10mm/5 min,则须采用荧光素钠染色法检查角结膜,染色阳性(≥5 个点)可诊断干眼。
治疗方法
一、A组:睑板腺按摩治疗组(n=25)采用睑板腺按摩及普拉洛芬滴眼液、玻璃酸钠滴眼液治疗。
二、B组:IPL 治疗组(n=25)采用 IPL (EYESIS强脉冲光干眼治疗仪,美迪信(天津)有限责任公司)联合睑板腺按摩及普拉洛芬滴眼液、玻璃酸钠滴眼液治疗。

疗效标准
(一)显效:眼部不适症状基本消失,睑缘的形态也恢复正常,泪膜破裂时间>10s;
(二)有效:眼部不适症状明显改善,睑缘的形态得到改善,泪液破裂的时间相对延长;
(三)无效:未达到以上标准。
疗效对比
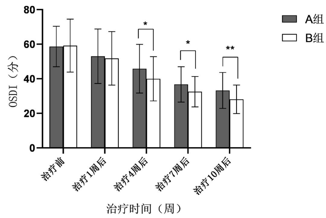
一、OSDI(眼表疾病指数量表):AB两组,治疗前(P=0.860),治疗1周后(P=0.692)对比无统计学差异,治疗4、7、10周后对比有统计学差异(P<0.05)。

二、NITMH(非侵入式泪河高度):AB两组,治疗前(P=0.212),治疗 1 周(P=0.202)后对比无统计学差异,治疗4、7、10周后对比有统计学差异(P<0.05)。

三、NIBUT(非侵入式泪膜破裂时间):AB两组,治疗前(P=0.373),治疗1周后(P=0.515)对比无统计学差异,治疗4、7、10周后对比有统计学差异(P<0.05)。

四、SIT(基础泪液分泌实验):AB两组,治疗前(P=0.506),治疗1周后(P=0.163)对比无统计学差异,治疗4、7、10周后对比有统计学差异(P<0.05)。

五、睑缘评分:AB两组,治疗前(P=0.898),治疗1周后(P=0.135)对比无统计学差异,治疗4、7、10周后对比有统计学差异(P<0.05)。

六、MGYSS(睑板腺分泌物):AB两组,治疗前(P=0.767),治疗1周后(P=0.286)对比无统计学差异,治疗4、7、10周后对比有统计学差异(P<0.05)。

七、CFSS(角膜荧光素染色评分):AB两组,治疗前(P=0.755),治疗1周后(P=0.883)对比无统计学差异,治疗4、7、10周后对比有统计学差异(P<0.05)。

八、MGLS(睑板腺腺体丢失率评分):AB两组,治疗前(P=0.853),治疗1周(P=0.814)、4周(P=0.858)、7周(P=0.911)、10周(P=0.603)后对比无统计学差异.

研究结果
治疗 10 周后,B组总有效率(90.0%)高于A组(74.0%),两组治疗效果相比差异有统计学意义(P<0.05)。另外,B组的视力、眼压、眼睑周围皮肤、睫毛、角膜、结膜、虹膜、晶状体等和治疗前对比均无明显变化,表明IPL具有较高的安全性。
讨论
A、B两组治疗方法均可改善中重度VDT相关干眼的症状及体征,但IPL联合睑板腺按摩及药物治疗起效时间更快,改善OSDI、NITMH、NIBUT、SIT、睑缘评分、MGYSS的治疗效果更好。两种治疗方法对于改善 CFS、MGLS无明显差异。对于 MGLS,要进行4次以上 IPL 联合睑板腺按摩及药物治疗才有改善,而单纯睑板腺按摩联合药物治疗无明显改善。因此,睑板腺缺失应优先选择IPL联合睑板腺按摩治疗。如果效果不佳,说明中重度VDT相关干眼患者应早期治疗才能达到更好的疗效。

本研究可以总结为以下三点:
1、中重度VDT相关干眼患者症状依次为干涩、视疲劳、眼痒、眼痛、异物感、畏光。
2、睑板腺按摩联合药物治疗及EYESIS强脉冲光联合睑板腺按摩及药物治疗均可改善中重度 VDT 相关干眼患者症状、体征,但联合EYESIS强脉冲光治疗效果更佳。
3、长时间(≥4 次)EYESIS强脉冲光联合睑板腺按摩及药物治疗有利于改善睑板腺丢失面积,而睑板腺按摩联合药物治疗则无明显改善。
